December 19, 2025
Clerk Division Settles Three Major Postal Support Employee Disputes
The Clerk Division recently resolved three issues regarding Postal Support Employees (PSEs) that prompted us to file Step 4 disputes. They are described below.
PSE Pretextual Separation Issue (Case #6X 18C-6X-C-22247750, APWU #HQTG20220108)
Clerk Division Director Lamont Brooks reached an agreement with the Postal Service regarding past separations of PSEs for alleged “lack of work.” The settlement applies to clerk craft PSEs separated for lack of work between May 6, 2022, and the signing date of this agreement, November 17, 2025.
The dispute was initiated when the Postal Service misinterpreted the contract concerning PSE cap violation provisions. The Step 4 settlement references a prior 2014 agreement that stated, “PSEs shall not be terminated in order to come into compliance with the specific cap requirements.”
The resolution provides local unions with an opportunity to “demonstrate there was adequate work available for any, or all, of the separated PSEs” and further states, “… the PSEs will be permitted to seek reinstatement at the local level, if they have not already done so, and will be reinstated retroactively and made whole.”
Local unions will be provided with a copy of each reinstatement letter and a copy of the settlement. These documents will be mailed to the affected separated PSEs at their last known address. This will allow separated PSEs to “fully understand their options.”
“This dispute repairs the damage done to PSEs who were improperly separated as a result of the Postal Service’s violation of our CBA. Our local unions must step forward once they receive notification of the affected PSEs in their representational area and do their part to assist them in returning to postal employment,” Director Brooks explained.
“Director Brooks and the Clerk Division leadership have done a tremendous job protecting the contractual rights of the PSE workforce and the future full-time regular workforce of APWU. Their work proves that APWU will leave no stone unturned to protect workers, and no one will be left behind when we fight for our contractual rights,” said APWU President Jonathan Smith.
The settlement closes three national issues: PSE Career Conversions, PSE Multiple Probationary Periods, and PSE Health Benefits.
PSE Pretextual Separation Issue
(Case #6X 18C-6X-C-22247750, APWU #HQTG20220108)
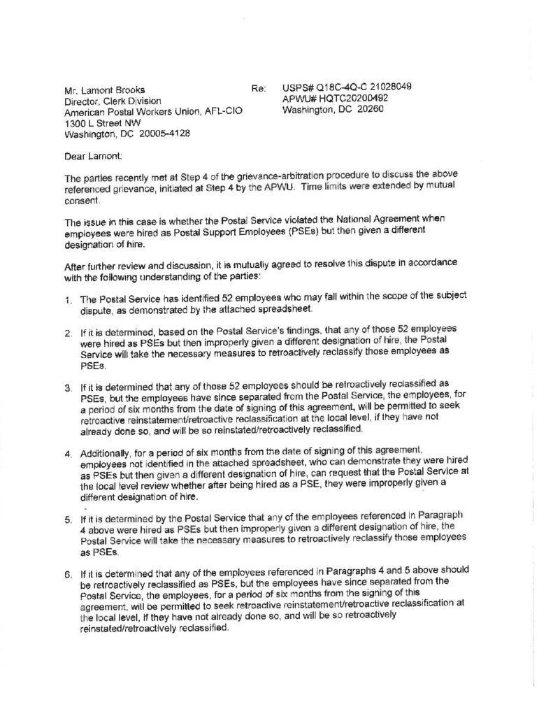
PSE Designation of Hire (Case #Q18C-4Q-C-21028049, APWU #HQTC20200492)
The Postal Service identified approximately 52 employees who were initially hired as PSEs preceding the 2022 holiday season but were later improperly classified as a different designation of employees. These employees had been subsequently designated as Holiday Clerk Assistants (HCAs), which would have terminated their employment at the end of the holiday season. The settlement permits affected employees who have since separated from the Postal Service to seek reinstatement. Those choosing reinstatement will be retroactively reclassified as PSEs.
The Postal Service will initially determine if any of the 52 employees fit the profile of: hired as a PSE, later assigned a different designation of hire. The APWU may dispute an adverse decision through the grievance-arbitration procedure. Once a PSE’s eligibility is established but an employee has since been separated from postal employment, “the employees, for a period of six months from the date of signing of this agreement will be permitted to seek retroactive reinstatement/retroactive reclassification at the local level, if they have not already done so, and will be so reinstated/retroactively reclassified.”
Additionally, employees not identified on the list will have six months from the date of signing of the agreement to demonstrate that they were hired as PSEs but later assigned a different designation. They then may request a local level review to determine if they meet the criteria for reinstatement/retroactive reclassification.
The Postal Service “will determine whether those employees were deprived of any subsequent non-wage benefits as a result of their separations/terminations, e.g., including but not limited to conversion to career status, establishment of seniority, health insurance eligibility/contributions, life insurance eligibility/contributions, Federal Employee Retirement System (FERS) eligibility/contributions, and Thrift Savings Plan (TSP) eligibility/contributions, and, if so, will take the necessary measures to make those employees whole as it relates to those non-wage subsequent benefits.”
PSE Designation of Hire
(Case #Q18C-4Q-C-21028049, APWU #HQTC20200492)
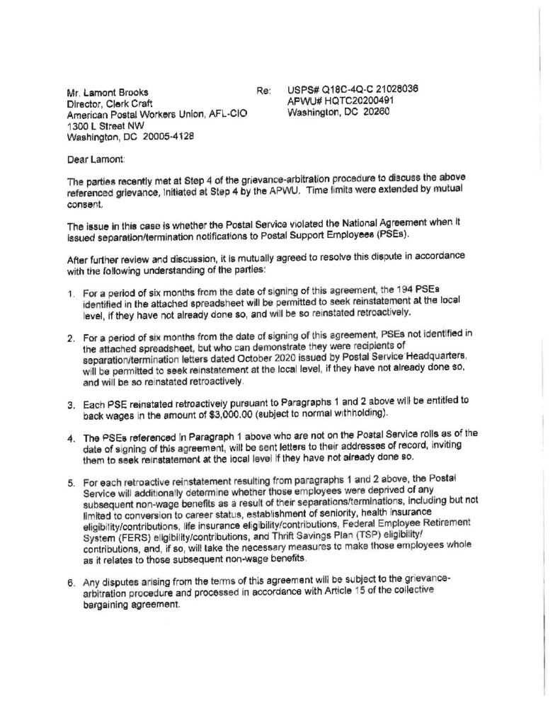
PSEs Separation/Termination Notifications (Case #Q18C-4Q-C-21028036, APWU #20200491)
194 PSEs who were improperly issued separation/termination notices in October 2020 by Postal Service Headquarters will be allowed to seek reinstatement at the local level if they have not already done so. The reinstatement will be retroactive to October 2020. Reinstated employees will receive $3,000.00 in back wages. These PSEs were issued separation notices due to having zero work hours in excess of eight (8) weeks. They will receive letters to their addresses of record inviting them to seek reinstatement.
In 2020, the Postal Service concluded that there were PSEs who had not been scheduled for work for at least eight weeks. After reaching this conclusion, these PSEs were issued separation notices, which originated from Postal Service Headquarters rather than at the local level.
Each of the affected PSEs will be permitted to seek reinstatement at the local for a period of six months from the date of the signing of the agreement. The same six-month period will be applicable for anyone not identified by the Postal Service, if they can demonstrate that “they were recipients of separation/termination letters dated October 2020 issued by Postal Service Headquarters”. If successful, they may also seek reinstatement at the local level.
The letter offering reinstatement will explain, “Pursuant to a national level settlement” the former PSE is being offered an opportunity for reappointment as a career employee. It will provide information to contact a postal official in the local area “to make arrangements to return to work.”
The settlement also requires the Postal Service to determine if these employees were deprived of subsequent non-wage benefits due to their separation/termination. If applicable, this includes conversion to career status, establishment of seniority, health insurance eligibility/contributions, life insurance eligibility/contributions, FERS eligibility/contributions, and TSP eligibility/contributions.
NOTE: The letter to affected employees offering reinstatement will be to career status. This could mean full-time or Part-Time Flexible (PTF), depending on the office size.
PSEs Separation/Termination Notifications
(Case #Q18C-4Q-C-21028036, APWU #20200491)